Adenylyl Cyclase

 

Introduction

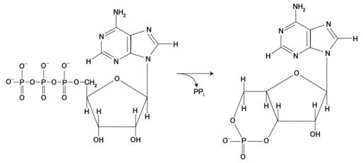
Adenylyl cyclase, more commonly known as adenylate cyclase, is an enzyme that catalyses the formation of cylic-adenosine monophosphate (cAMP) from ATP. It’s systematic name is 3',5'-cyclic AMP synthetase as it catalyses the formation of the bond between the 3’ and 5’ carbons with the alpha phosphate group to form a cyclic molecule by phosphorus-oxygen lyase activity. Cyclic AMP (cAMP) is a key intracellular messenger involved in many pathways, namely intracellular signalling cascades and cyclic nucleotide biosynthetic processes. It is largely involved in activating cAMP-dependent kinases and inducing interactions between domains of various proteins. cAMP is produced by adenylyl cyclases, which in general are regulated by activating and inhibitory G protein. Adrenaline binds to its receptor, which associates with a heterotrimeric G protein. The G protein associates with adenylate cyclase that converts ATP to cAMP, causing a signalling cascade.

http://smart.embl-heidelberg.de/smart/do_annotation.pl?DOMAIN=SM00044

 


Adapted from: http://www.answers.com/topic/adenylate-cyclase

Adenylyl cyclases are regulated by various regulatory factors. They are activated or inhibited by G-proteins, protein kinases, calcium and calmodulin. There are nine known membrane bound mammalian isoforms of the ubiquitous enzyme and eubacterial homologues are known. The isoforms show significant sequence and structural homology. The overall structure of the isoenzymes consists of two hydrophobic domains that are each made up of six transmembrane spans, and two catalytic cytoplasmic domains. A tenth mammalian isoform is known (ADCY10). This isoform is soluble and therefore lack the transmembrane domain. The isoforms are found in different mammalian tissues and their activation/inhibition depends on tissue specific regulatory factors.
Regulation and role of adenylyl cyclase isoforms. Annu Rev Pharmacol Toxicol. 2001;41:145-74.

The two cytoplasmic domains (C1 and C2) of mammalian adenylyl cyclases are homologous. The C2 domain is catalytically active whilst the C1 domain promotes its catalytic activity. There are two conserved amino acid residues; Asn-1025 and Arg-1029, among the C2 domains of soluble adenylyl cyclases but not in the C2 domains of membrane bound adenylyl cyclases. These two conserved residues are crucial for catalytic activity, and the absence of catalytic function in the C1 domain is accounted for by the absence of the residues.
Yan SZ, Huang ZH, Shaw RS, Tang WJ The conserved asparagine and arginine are essential for catalysis of mammalian adenylyl cyclase. J Biol Chem. 1997; 272: 12342-9


Adenylyl cyclases act as second messengers in regulatory processes in the central nervous system. It has been suggested that they play a role in the pathophysiology of diseases, but their biological function is not greatly understood, except for AC type I. This isoform has been implicated in learning and memory.
Mamm Genome. 1995 Feb;6(2):111-3. Mapping of adenylyl cyclase genes type I, II, III, IV, V, and VI in mouse. Edelhoff S, Villacres EC, Storm DR, Disteche CM.
Adenylyl cyclases belong to the adenylyl cyclase class-4/guanylyl cyclase family and contain the Adenylyl and guanylyl cyclase catalytic domain (CYCc). The sequence homology is such that Two amino acid substitutions convert a guanylyl cyclase, RetGC-1, into an adenylyl cyclase.
Tucker CL, Hurley JH, Miller TR, Hurley JB , Two amino acid substitutions convert a guanylyl cyclase, RetGC-1, into an adenylyl cyclase. Proc Natl Acad Sci U S A. 1998; 95: 5993-7
Guanylate cyclases use GTP as a substrate to form cGMP whereas adenylate cyclases catalyze the analogous conversion of ATP to cAMP. It has been found that GTP acts to increase hormonal stimulation of adenylyl cyclase.
Biochim Biophys Acta. 2007 April; 1768(4): 756–771.
The discovery of signal transduction by G proteins. A personal account and an overview of the initial findings and contributions that led to our present understanding

The Isoforms

 

10 different Isoforms in Homo Sapiens:

ADCY1

Adenylyl cyclase type 1 is the first enzyme in the adenylyl cyclase family. (Ludwig and Seuwen, 2002). It is found specifically in the neuronal cells in the brain, and has a calmodulin-sensitive mechanism. The 100 amino acid rediues in the carboxy-terminal contains one of several possible calmodulin binding domains and the only putative cAMP-dependent protein kinase A phosphorylation site. In situ hybridization of the 5' half of the bovine type I adenylyl cyclase and the 3' half of the human type I adenylyl cyclase was used to localize the human type I adenylyl cyclase gene to the proximal portion of the short arm of chromosome 7. (Genomics. 1993 May;16(2):473-8. Cloning, chromosomal mapping, and expression of human fetal brain type I adenylyl cyclase. Villacres EC, Xia Z, Bookbinder LH, Edelhoff S, Disteche CM, Storm DR.) The ADCY1 gene was mapped to 7p13-p12 by Villacres et al. (1993). It is suggested that adenylyl cyclase 1 is involved in regulatory processes in the central nervous system. It may also play a role in memory acquisition and learning. It is most abundant in the brain, retina and adrenal medulla.

ADCY2

Adenylyl cyclase type 2 belongs to the adenylate cyclase (EC 4.6.1.1) family of enzymes responsible for the synthesis of cAMP (Ludwig and Seuwen, 2002). It was determined that the ADCY2 gene consist of 25 exons and spans 429.7 kb by Ludwig and Seuwen (2002) and is found on chromosome 5p15, with a major peak in the band p15.3. The transcribed protein is 1,086 amino acids. Adenylyl cyclase 2 is a membrane-bound, calmodulin-insensitive adenylyl cyclase and is stimulated by the G protein beta and gamma subunit complex. It binds 2 magnesium ions per subunit. By semiquantitative Real-Time-PCR, it was detected that adenylyl cyclase 2 is present in all tissues examined except peripheral blood leukocytes. The highest expression was detected in brain, skeletal muscle, and testis.

ADCY3

Adenylyl cyclase type 3 is a calcium/calmodulin activated adenylate cyclase. It is prevalent in the brain but is also expressed in the heart, kidney, liver, lung, pancreas, placenta, and skeletal muscle. It is thought to be a mediator of odorant detection via the modulation of intracellular cAMP concentration. The ADCY3 gene is expressed on gene locus 2p24-p22. the structure contains N-linked glycosylation sites a predicted protein kinase A site, 2 tyrosine kinase sites, and many potential protein kinase C sites throughout the sequence. There is a 95% sequence homology between the human and rat proteins and so the rat proteins were used for research purposes. Yang et al (1999) found, by semiquantitative RT-PCR, that the expression of the ubiquitous ADCY3 was in all mammalian tissues. The highest expression was in lung and placenta. Intermediate expression was observed in brain, heart, kidney, and skeletal muscle, and lowest expression was observed in the liver and pancreas.

ADCY4

Adenylyl cyclase type 4 is a membrane bound calmodulin-insensitive adenylyl cyclase. It is insensitive to calcium/calmodulin. It is regulated by the G protein beta and gamma subunit complex. The gene is expressed on chromosome 14q11.2 and contains 25 exons and spans 16.3 kb. Ludwig and Seuwen (2002). Wong et al. (2000) identified the presence of adenylyl cyclases 2 , 3, and 4 in olfactory cilia. Olfactory cilia inside the nose line the mucus membranes of the nose, and unlike most other cilia in the body, they are non-motile. The presence of these isoforms suggest they are involved in detection of smells.

ADCY5

Adenylyl cyclase type 5 has gene locus 3q13.2-q21. The gene consists of 21 exons and spans 167 kb. The first exon is 95 kb upstream of the clustered next 20 exons. This isoform is inhibited by calcium in the submicromolar concentration range. EST database analysis has revealed that this membrane-bound adenylyl cyclase has 2 alternative polyadenylation sites. The translated protein contains 1,261 amino acids. Semiquantitative RT-PCR detected has revealed that there is a high expression of ADCY5 in heart and testis, with moderate expression in brain, prostate, ovary, small intestine, and colon, and low expression in lung and liver.

ADCY6

The Adenylyl cyclase type 6 gene, ADCY6, was determined to have 21 exons and spans 17.9 kb. It is found at locus 12q12-q13. it is membrane bound, and is regulated by calcium ions. Inhibition of this protein occurs in the submicromolar concentration range of Calcium ions. A high level of expression was found in the heart, kidney, prostate, testis, ovary, small intestine and colon. Semiquantitative RT-PCR showed that ADCY6 was not present in hepatocytes and is expressed in low levels in the brain, placenta, lung, pancreas, spleen, and thymus.

ADCY7

Hellevuo et al. (1993) identified adenylate cyclase-7 (ADCY7) in the human erythroleukemia cell line HEL. ADCY7 is the major form of adenylyl cyclase in human platelets, it is a non membrane-bound, calcium inhibitable adenylyl cyclase. Of brain areas that have been studied, the transcript was most abundant in the caudate and cerebellum and present at a slightly lower level in hippocampus. By semiquantitative RT-PCR, Ludwig and Seuwen (2002) found high expression of ADCY7 in peripheral blood leukocytes, spleen, thymus, lung, heart. They found moderate expression in several other tissues, including placenta, ovary, and colon. Little to no expression was found in the brain, kidney, liver, and skeletal muscle. They also determined that the ADCY7 gene contains 26 exons and spans over 38.6kb.

ADCY8

The gene for adenylyl cyclase 8 is found on chromosome 8q24. it is a membrane-bound isoform that is activated by the influx of calcium ions and by calmodulin. It is thought to be involved in learning, in memory and in drug dependence. Its catalytic activity is regulated by several hormones. The transduction of the signal from the receptor to the catalytic moiety of adenylyl cyclase 8 is controlled by different regulatory factors – specifically different polypeptides. The receptors of adenylyl cyclase interact with G proteins that exhibit GTPase activity. They modulate the activity of the catalytic subunit of the adenylyl cyclase by activation or inhibition (Parma et al., 1991). By semiquantitative RT-PCR, Ludwig and Seuwen (2002) found weak expression of ADCY8 in brain and testis and no expression in any other tissue examined.

ADCY9

Adenylyl cyclase-9 (ADCY9) is a widely distributed adenylyl cyclase isoform that was originally cloned from mouse (Paterson et al., 1995; Premont et al., 1996). The sequence homology between mouse and human cardiac ADCY9 proteins was 90% Hacker et al.,(1998). Like mouse Adcy9, the predicted human ADCY9 protein contains 12 transmembrane domains, Asn-linked glycosylation sites, and cAMP-dependent protein kinase phosphorylation sites. The isoforms differ in the C2b catalytic domain due to a frameshift in the human ADCY9 coding sequence relative to the coding sequence of mouse Adcy9. Adenylyl cyclase 9 is thought to play a fundamental role in situations where fine interplay between intracellular calcium and cAMP determines the cellular function. The gene locus is at 16p13.3. This isoform is insensitive to calcium/calmodulin, forskolin and somatostatin. It is stimulated by beta-adrenergic receptor activation. It is expressed in multiple cells of the lung, with expression highest in airway smooth muscle. Ref.2

ADCY10

ADCY10 is a soluble adenylyl cyclase that has a critical role in mammalian spermatogenesis. This is due to the fact that it produces the cAMP which mediates in part the cAMP-responsive nuclear factors which are indispensable for maturation of sperm in the epididymis. It also induces capacitation, which is the maturational process that sperm undergo prior to fertilization. It is involved in ciliary beat . The enzyme is regulated by the activatation of manganese or magnesium ions. In the presence of magnesium ions, the enzyme is activated by bicarbonate. In the absence of magnesium and bicarbonate, the enzyme is weakly activated by calcium. ADCY10 is weakly expressed in the brain, heart, kidney, liver, lung, pancreas, peripheral blood leukocytes, placenta, skeletal muscle, stomach, thymus, airway epithelial cells, duodenum, jejunum and ileum. It has very low level of expression in bone. Genetic variations in ADCY10 are associated with absorptive h

Adenylyl Cyclase Type 1

Q08828 (ADCY1_HUMAN)

FASTA
Adenylyl Cyclase Type 2
Q08462 (ADCY2_HUMAN)
FASTA
Adenylyl Cyclase Type 3
O60266 (ADCY3_HUMAN)
FASTA
Adenylyl Cyclase Type 4
Q8NFM4 (ADCY4_HUMAN)
FASTA
Adenylyl Cyclase Type 5
O95622 (ADCY5_HUMAN)
FASTA
Adenylyl Cyclase Type 6
O43306 (ADCY6_HUMAN)
FASTA
Adenylyl Cyclase Type 7
P51828 (ADCY7_HUMAN)
FASTA
Adenylyl Cyclase Type 8
P40145 (ADCY8_HUMAN)
FASTA
Adenylyl Cyclase Type 9
O60503 (ADCY9_HUMAN)
FASTA
Adenylyl Cyclase Type 10
Q96PN6 (ADCYA_HUMAN)
FASTA

 

Sequence Analysis

Comparisons of the isoforms found in Homo sapiens were made using multiple sequence alignments of types 1-10. The output file compares every sequence through a score counting. The higher the score, the greater the similarity. The most distinct sequence to any other isoform was Adenylyl cyclase 10, scoring an average of 7.22.
This difference can be accounted for by analyzing the structural character ADCY10. It is the only soluble form since it lacks the membrane-bound domains M1 and M2, but is composed of 1610 residues, making it the largest of the isoforms. However, the remaining insoluble proteins were variably similar at different regions along the sequence. To discover which parts of the sequence were similar to one another, the alignment file was run on Boxshade. The Boxshade alignments pinpoint regions that are more similar in the sequence than others. The amino acid abbreviations highlighted in black correspond to identical amino acids between the sequences, and when this similarity continues to run for many residues along, it represents a conserved region. The abbreviations in grey compare those with very similar properties, for instance, N (asparargine) and Q (glutamine) which both have polar amide side chains.

Certain regions are conserved (showing strong similarity between sequences), because these regions offer functional properties to the enzyme. These conserved regions are found to start at different lengths along the polypeptide chain depending on the isoform.

For instance, in ADCY2 the sequence that runs from 400-445 shows strong similarity to sequences of the same length in ADCY3-9 but vary in how far along the chain this conserved part of the sequence runs. In ADCY5, the part which would be almost identical to residues 400-445 in ADCY2, is found from 579-624.
The most conserved regions differ in very few residues, most of which are highlighted in grey.

To prove these conserved regions offer functionality, the most conserved isoform had to be analyzed. The phylogram (picture) describes how each isoform originated from a single origin.

On this basis, the most conserved must be type 8, since it branches directly off its ancestor and is therefore the most identical to it. The least conserved are either types 2 and 4, or types 9 and 10, since both sets came about from four sequential changes that place them on the third branches of the phylogram.

ADCY8 was run on BLAST2.0 for proteins to obtain a graphical summary of the conserved domains.

These domains represent regions of functionality. The image shows several domains that span from the same range of residues, such as 370-590 (approximately). Guanylate_cyc, CYCc, and CyaA are domains that can be found in a vast array of enzymes that are part of the Guanylate_cyc superfamily. These enzymes exhibit catalytic activity that is either identical or very similar to that of ADCY8. Many of the isoforms contain the DUF1053 domain, a region of unknown function that exhibits no catalytic activity.

Structural Analysis

The crystallized structure of Adenylyl cyclase was found on the RCSB Protein Data Bank (PDB).

http://www.rcsb.org/pdb/explore.do?structureId=2GVZ

This structure does represent the entire protein sequence, since crystallization can only be carried out using the functional domains. This is due to the denaturing on the polypeptide chain in vitro. The sequence starts off as linear, and in order to obtain its conformation the native state, the sequence must come into contact with another protein. The protein folds into its native conformation as the side-chains from the different proteins interact with one another.
Adenylyl cyclase is composed of four major subunits consisting of two transmembrane regions M1 and M2, and two cytoplasmic regions C1 and C2. Transmembrane localization is the only known function of M1 and M2, which are thought to be composed of six membrane-spanning helices each. The transmembrane regions were unable to be crystallized due to the nature of the environment required to adopt their shape in (the non-polar interior on the plasma membrane). C1 and C2 can be subdivided into C1A and C2A, and C1B and C2B
.
C1A and C2A are strongly conserved and homologous to one another, and contain all of the catalytic apparatus. C1B is extremely variable in size and C2B can be extremely short. These B domains lack conservation among isoforms. Therefore the Protein Database only uses the C1A and C2A regions. Being so conserved, they are strong representatives of almost all the isoforms throughout the animal kingdom.

http://www.jbc.org/cgi/content/full/274/12/7599

The PDB assigns C1A and C2A to chain A and chain B respectively. These catalytic subunits are part of the Guanylate cyclase superfamily, and therefore were able to crystallize by binding to the Guanine nucleotide-binding protein G(s) alpha subunit (chain C).
This image was generated from rasMOL by downloading the 2GVZ txt file.



The Guanine nucleotide-binding protein G(s) alpha subunit does not form part of the Adenylyl cyclase structure and is used purely for crystallizing purposes.

RasMOL was used to generate and highlight the key components of the catalytic binding site of chain A and B.

The ATP substrate fits into the binding pocket surrounded by the labeled amino acids. The purine ring in ATP sits on hydrophobic residues, whilst the negatively charged phosphates interact with the charged lysine on C2 (Lys 501A). This lysine acts as a flexible door that can readily open and close the active site.
The Mg2+ binding site consists of the two aspartate residues Asp 396A and Asp 440A, which are able to coordinate two of the metal ions. One remains freely bound to one aspartate residue, whereas the other binds as a complex to the ATP substrate by interactions with its a-phosphate.

Labeling references:
http://jkweb.qb3.berkeley.edu/external/pdb/2008/Jonathan_Winger/The_crystal_structure_of_the_catalytic_domain_of_a_eukaryotic_guanylate_cyclase.html
http://www.jbc.org/content/vol274/issue12/images/large/bc1399613001.jpeg

These crystallised protein structures found on the PDB are not derived from human sources. Chain A (C1A) was extracted from the dog species Canis familiaris, chain B (C2A) from the rat species Rattus norvegicus, and finally chain C (G(s) protein a-subunit) from the cow species Bos taurus. To show that these were suitable substitutes, a comparison was made with the human forms of the protein. Domain C1A was represented using the domain from ADCY5, C2A used ADCY2 and chain C used the G(s) protein a-subunit. Multiple sequence alignments were carried out to derive scores between each of the two sequences.
Dog and human ADCY5 scored 93%. This highlighted the convervation between the isoforms in different animal kingdoms. This score was for the entire sequence, which indicates that the functional domain sequences were 100%. This also applied to rat and human ADCY2, and cow and human G(s) protein a-subunit, which scored 95% and 99% respectively.

Human and Dog ADCY Type 5:

Homo sapiens (Human) Adenylate cyclase type 5

Canis familiaris (Dog) Adenylate cyclase type 5

Human and Rat ADCY Type 2:

Homo sapiens (Human) Adenylate cyclase type 2

Rattus norvegicus (Rat) Adenylate cyclase type 2

Human and Bovine Guanine nucleotide-binding protein G(s) subunit alpha:

Homo sapiens (Human) Guanine nucleotide-binding protein G(s) subunit alpha

Bos taurus (Bovine) Guanine nucleotide-binding protein G(s) subunit alpha

MSA Output Files

MSA Output file ADCY2 rat human.txt

MSA Output file ADCY5 dog human.txt

MSA Output file G(s) subunit alpha cow human.txt

MSA type 1 to 10 Output file with scores.txt

 

Multiple Sequence Alignment Files

Multiple sequence alignment ADCY2 rat human.txt

Multiple sequence alignment ADCY5 dog human.txt

Multiple sequence alignment GNAS cow human.txt

Multiple sequence alignment type 1 to 10.txt

 

Boxshade Files

1.BOX.21924.2824 rat and human.rtf

1.BOX.25905.2569 Boxshade for types 1-10.rtf

1.BOX.26200.8488 canine and human.rtf

1.BOX.27767.7297 bovine and human.rtf

 

Clinical application of Adenylyl cyclase:

Studies on mice were conducted and they saw the following observations; the knocked out mice for adenyly cylase type 5 showed more increased antidepressant and anxiolytic behaviour on the standard behaviour observations. The knockout mouse for Adenylyl cyclase type 1/8 the mice were shown to be more hyperactive they displaced alterations in neurotrophic signalling which was consistent with prodepressant phenotype. This data empathized that Adenylyl cyclases stimulated by calcium and calmodulin complex play a key role in emotional behaviour. They also found a possible therapeutic method against anxiety and depression by producing an antagonist (something that will block) the function of adeylyl cyclase type 5.

 

Group 11 - Adenylyl Cyclase: Faisal Lucas Butt, Michael Hughes, Yusuf Salman Khaleeq, Neil Nevies, Amna Qureshi and Elizabeth Rodriguez