From the literature
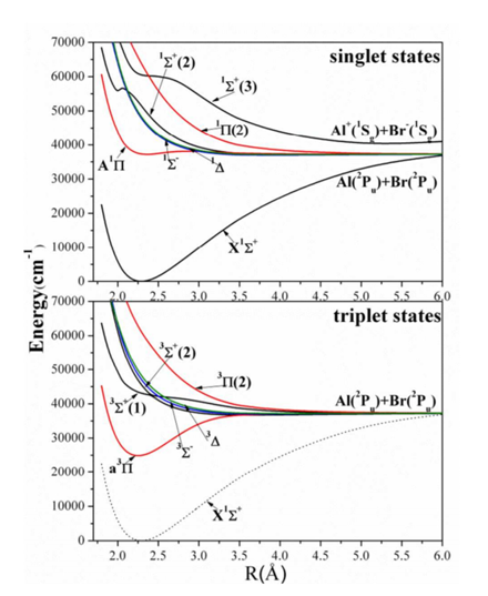
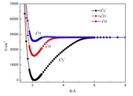
Electronic curves of AlBr

Electronic curves of AlCl

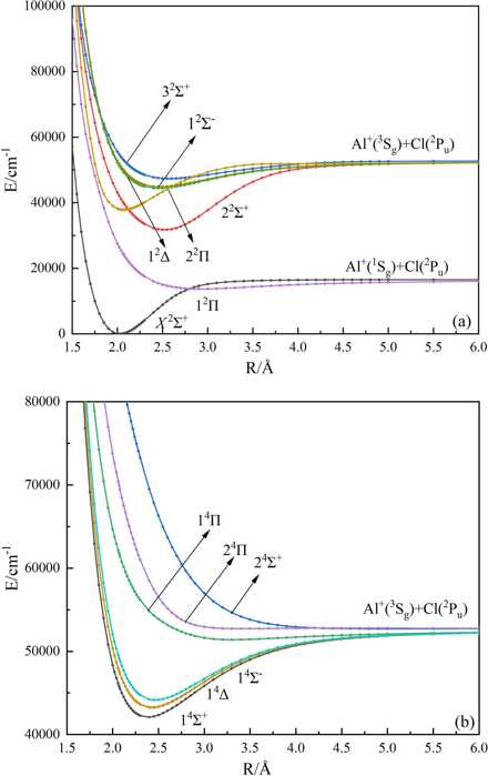
Electronic curves of AlCl+

Electronic curves of AlF

Electronic curves of AlH

Electronic curves of AlO

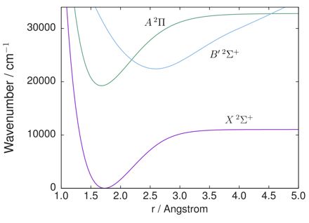
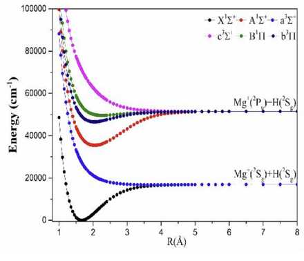
Electronic curves of BeAl

Electronic curves of BeH

Electronic curves of BeF

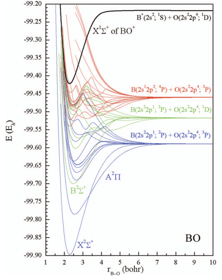
Electronic curves of BO

Electronic curves of CaH

Electronic curves of CaF

Electronic curves of CaO

Electronic curves of CH

Electronic curves of ClO

Electronic curves of CN

Electronic curves of CP

Electronic curves of CS

Electronic curves of CO

Electronic curves of CO

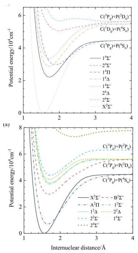
Electronic curves of FeC

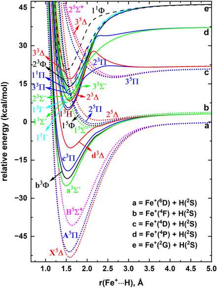
Electronic curves of FeH

Electronic curves of FeH+

Electronic curves of FeO

Electronic curves of FeS

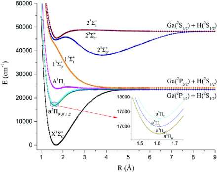
Electronic curves of GaH

Electronic curves of GeO

Electronic curves of H2

Electronic curves of HBr

Electronic curves of HBr
Electronic curves of HeI

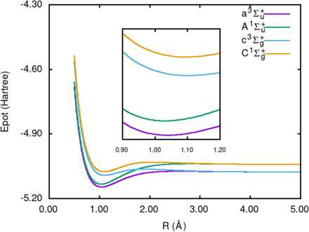
Electronic curves of He2

Electronic curves of InH

Electronic curves of KN

J. Chem. Phys. 127, 194307 2007)
Electronic curves of LiSr

Electronic curves of MgH

Electronic curves of MgH+

Electronic curves of MgO

Electronic curves of MnCl

Electronic curves of MnH

Electronic curves of MgF

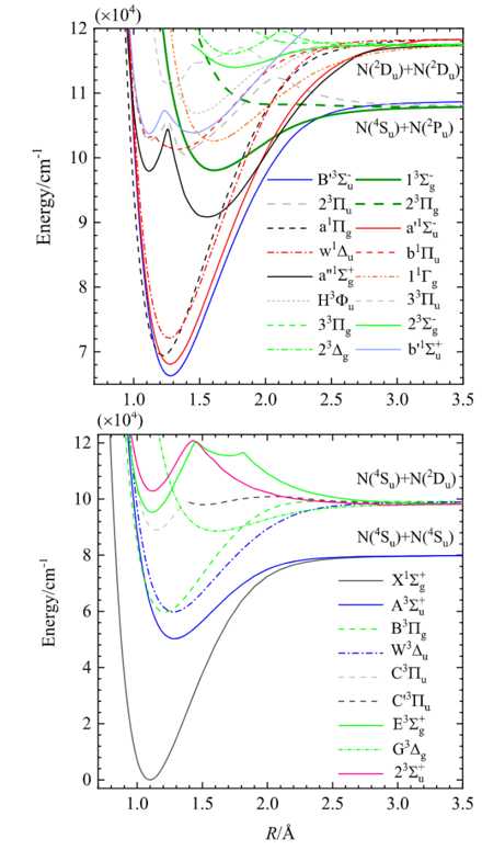
Electronic curves of N2

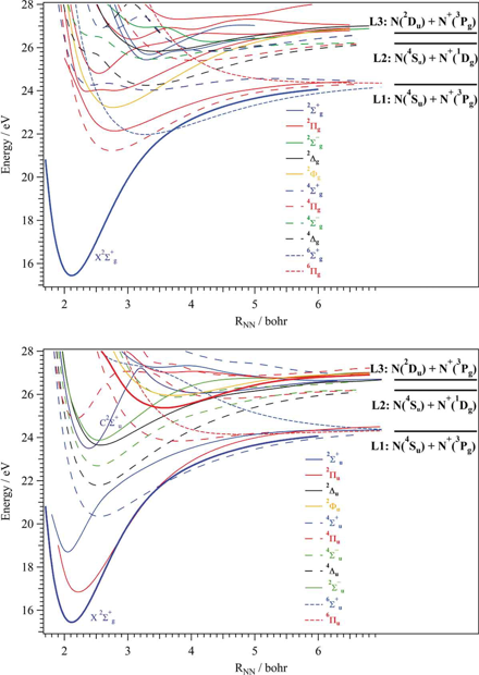
Electronic curves of N2+

Electronic curves of NO

Electronic curves of NO+

Electronic curves of Na2

Electronic curves of NaCl

JMS 99, 1-24 (1983)
Electronic curves of NaCs

Electronic curves of NaH

Electronic curves of NaK

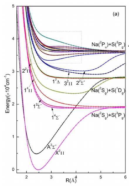
Electronic curves of NaS

Electronic curves of NbN

Electronic curves of Ni2

Electronic curves of NiC

Electronic curves of NH

Electronic curves of NS

Electronic curves of OH-

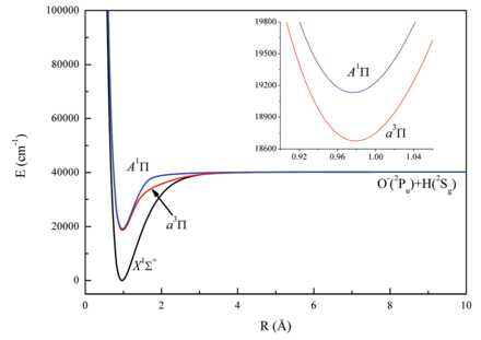
Electronic curves of OH

Electronic curves of OH+

Electronic curves of O2

Electronic curves of O2

Electronic curves of PbH

Electronic curves of PCl

Electronic curves of PH

Electronic curves of PH by Fitzpatrick et. al. (2002)
Electronic curves of PN

Electronic curves of PN

Electronic curves of PN by Qin et. al.
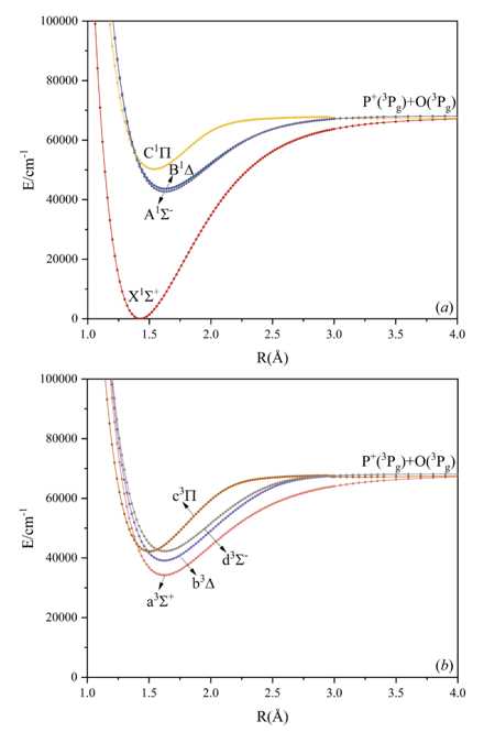
Electronic curves of PO+

Electronic curves of PS

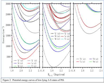
Electronic curves of PtS

Electronic curves of S2

Electronic curves of S2 by Kiljunen et al JCP (2000)
Electronic curves of SbNa

Electronic curves of SbNa by Setzer et. al. JMS (2015)
Electronic curves of ScH

Electronic curves of ScO by Anglada et al. Mol. Phys. (1989)
Electronic curves of ScO

Electronic curves of ScO by Miliordos and Mavridis JPCA (2010)
Electronic curves of SiC

Electronic curves of SiN

by Cai, Martin and Francois
Electronic curves of SiO

Electronic curves of SiP

Electronic curves of SiN by Min Wu Zunlue Zhu, JQSRT (2021)
Electronic curves of SiS

10.1021/jp013332e
Electronic curves of SiSe

Electronic curves of SiSe by Wei et al. Acta Phys. Sin., 62, 043101 (2013)
Electronic curves of SF

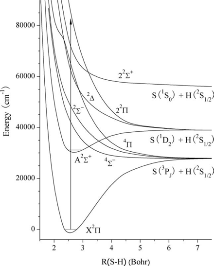
Electronic curves of SH

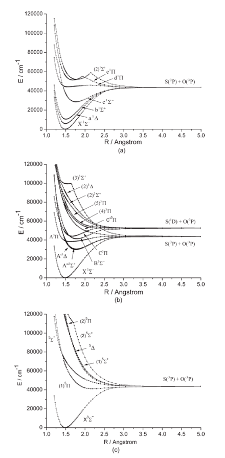
Electronic curves of SO

Electronic curves of SrH

Electronic curves of VO

Electronic curves of ZnS
