Back---You may experience viewing problems from scrolling up and down the page, refresh the page to fix this problem. If the problem continues use the stand alone version.
Satellite Manoeuvres
Instruction Manual
Introduction
This simulation simulates satellites being effected by the Earth's gravitational field.
This simulation assumes that:
- Each satellite is treated as a particle and has no mass or dimensions
- Total energy is not lost when moving in space
- Satellites can pass through each other
Interface
The interface in this simulation consist of two sides, the left hand side shows the simulation and the right hand side shows the control panel. The status bar on the browser displays the frame rate the simulation is performing, a frame rate of 60 is considered satisfactory.
| Simulations functions | Diagram 1 |
|---|---|
| Left click and drag to create the initial velocity vector of the satellite. | ![]() |
| Release the mouse after dragging to create the satellite. The satellite will create a trail of white dots during its orbit. | ![]() |
| Control panel functions | Diagram 1 | Diagram 2 |
|---|---|---|
Initial velocity vector informationThe initial velocity vector is created when the mouse is dragged as shown in Diagram 1.Diagram 2 shows the information of the initial velocity vector. |
![]() |
![]() |
Mass of the EarthThe mass of the Earth is shown as shown in diagram 1.It can be edited as shown in diagram 2, click on it and press backspace to delete the variable. Press the number keys to change the variable. Hit enter to return the variable. |
![]() |
![]() |
Force linesForce lines shows the lines of force as displayed in diagram 1.It can be selected in the drop down menu as shown in diagram 2. |
![]() |
![]() |
EquipontentialsEquipontentials shows where gravitational potential is the same as shown in diagram 1. Each equipontential shows increments of 1 x10⁶ J.kg¯¹.It can be selected in the drop down menu as shown in diagram 2. |
![]() |
![]() |
Time scaleThe time scale is shown as shown in diagram 1.It can be edited as shown in diagram 2, click on it and press backspace to delete the variable. Press the number keys to change the variable. Hit enter to return the variable. |
![]() |
![]() |
Pause/play buttonThe pause/play button will pause or unpause the simulation. |
![]() |
|
Reset buttonThe reset button will reset the simulation to its initial state. |
![]() |
|
Change colour buttonThe change colour button changes the colour scheme of the simulation from a selection of :
|
![]() |
Background physics (Gravitational force)
One of Sir Isaac Newton's law is the inverse square law. It says that the force from a source is proportional to one over r squared, ie
; this is because the lines of force spread out and the area it affects increases quadratically.
The image above shows the lines of force being spread out, creating a field. The area which is affected by the force is the distance from the force squared. Also the force decreases as it moves away from the source and hence explains why the proportionally is an inverse.
Gravitational force obeys Newton's inverse square law because the lines of gravitational force also spreads out. From this it is possible to derive an equation for gravitational force, between mass M and m, and acceleration due to gravity if all mass has a gravitational force.
Where G is the gravitational force constant 6.67 x10¯¹¹ N.m².kg¯² and g is the gravitational field strength or the acceleration due to gravity.
This simulation uses this equation but resolves them into vector components to make calculations easier for the computer.
Background physics (Gravitational potential)
Gravitational potential energy is the work done against gravity. Using the equation work = Fx and F = mg, the equation for gravitational potential energy can be derived.
This equation is fine for small changes of the height because the value of g, the gravitational field strength, is almost always constant. However once height has increased so much, the value of g will change a lot at different distances from the Earth so this equation becomes invalid. To derive a new equation by considering the change in the gravitational field strength over large distances, the equation for the gravitational field strength derived from Newton's inverse square law is substituted into the equation for gravitation potential energy.
Objects going through a change in distance from the Earth will have a change in gravitational potential and this change will change the kinetic energy of the object.
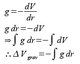
Notice there is a slight similarity with the equation for gravitational potential and the gravitational field strength, only the power of r is different. From this, calculus can be used to find the relationship between gravitational potential and gravitational field strength.
From this it is derived that the gravitational field strength is the change in gravitational potential over the change in distance. In other words the gradient of the graph
is the gravitational field strength as shown below.
Using integration, more relationships can be derived.
From this the change in gravitational potential is the area between the curve
, the x axis and the two values of r as shown below.
Scientific FAQ
-
What are equipontentials?
- They are lines where the gravitational potential are the same, they can be compared as contour lines in a geographical map. The closer the equipontentials are, the more change in gravitational potential there which means more gravitational field strength hence more acceleration.
- By drawing the equipontentials, the simulation looks like a 'well' so a cross of it will look like a curve. The steepness of the curve is actually equal to the acceleration due to gravity.
-
How do you make a satellite orbit?
- For a circular orbit its initial velocity must be perpendicular to the radius of the Earth, ie 90 degrees, and the magnitude must equal to the speed required for circular orbit depending on the mass of the earth and the distance from the centre of the earth.
- If the initial velocity is slightly different from what is required for circular orbit, its orbit could be elliptical.
Technical FAQ
-
How do I change the mass of the Earth or the time scale?
- Click on the number box and it should change colour. Press backspace to delete the digits and type in the desired value by typing in the number keys on the keyboard then press enter.
-
What's the maximum number of satellites which can be created?
- There is no limit to how many satellites can be created however the simulation will slow down if too many are created.














