Professor Haroun Mahgerefteh

Click on image to view full size
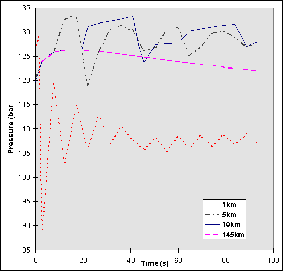
One of the most effective ways of limiting the amount of inventory released following pipeline rupture is through the use of emergency isolation or shutdown valves. This project deals with the development of a numerical simulation based on the method of characteristics for simulating the dynamic response of ball valves and check valves following full bore rupture of high pressure pipelines. The study, performed in conjunction with the hypothetical rupture of a 145 km pipeline containing methane at 133 bar, includes simulating the effects of valve proximity to the rupture plane and the delay in closure on the total amount of inventory released prior to pipeline isolation. The accompanying pressure oscillations and surges are also accounted for. The results are in turn used to recommend guidelines regarding the appropriate choice of isolation valve depending on the failure scenario. |
Mahgerefteh, H., P. Saha and I.G.Economou, 'A study of the dynamic response of emergency shut-down valves following full Bore rupture of long pipelines', Trans.I.Chem.E: Process Safety and Environmental Protection, 75(B4), 201-209 (1997).
Mahgerefteh, H. 'Control valves for pipe rupture', The Chemical Engineer, 666, 26 - 28 (1998).
Mahgerefteh, H. , Saha, P. and Economou, I.G, Fast numerical simulation for full bore rupture of pressurised pipelines', AIChE Journal, 45(6), 1191 - 1201 (1999).
Mahgerefteh, H. , P. Saha, and I.G. Economou, Modelling fluid phase transition effects on the dynamic behaviour of ESDV', AIChE Journal, 46(5), 997 - 1006 (2000).