MIGRATION / DRIFT BALANCE UNDER
WRIGHT'S "ISLAND MODEL"  PDF file of these pages: 


ALGEBRA

We use the probability of identity by descent (FST) in subpopulations relative to the total metapopulation as our measure of the progress of genetic drift. The probability of identity by descent from a previous generation (t-1) for two alleles chosen at random in generation t from within an isolated population of size Ne is. The alternative, that the two randomly chosen alleles were not identical in generation t-1 is , but these alleles may actually be identical from former generations with probability FST measured at time t-1. Thus the total probability of identity by descent in generation t is (I have dropped the "ST" and "e" subscripts to simplify the notation):

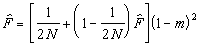
However, in the island model, we assume that migration brings in entirely unrelated genes from infinitely many other islands or from an infinitely large mainland, with probability m. Thus, the chance that any allele in a particular generation has not immigrated is (1-m), and the probability that neither of the two alleles chosen have immigrated in that generation is (1-m)2. Thus, after accounting for immigration, the overall probability of identity by descent at time t is:

It is fairly clear that the combined effects of drift and migration should tend to some sort of equilibrium value of F; if N and m are small, drift outweighs migration, and F will be nearly 1; if m and N are large, migration will homogenize gene frequencies faster than drift, then F will be nearly zero. Intermediate values of N and m should give intermediate levels of F.

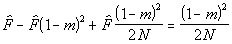
At equilibrium, , so: 

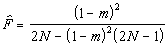
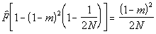
At the risk of boring the algebraically unchallenged, here are a number of steps of simplification of this formula to give the result in the lecture on population structure:



(OK, OK, I made a number of steps there, but you can handle it!!)

Now we make an approximation: that, if m is small, say 0.1 or less, then terms in m2 are very small, nearly zero, and can be ignored. In other words, (1-m)2~1-2m. Then:

Now, provided that 2m is small relative to Nm and 1, we have the approximate relationship:



LIMITATIONS OF THE ISLAND MODEL

Nm is interesting; because as it is the fraction of the population x the number within that population, it represents the "number of migrants" into a population. For this reason, some people have taken to viewing estimates of Nm as measures of "gene flow".

A problem: why Nm is not "gene flow."
In fact Nm does not measure the sort of gene flow we want at all; this is given by m. For instance, if we are interested in the homogenizing effect of actual gene flow that works against diversity-producing processes like disruptive selection or drift, then we are interested in m. All Nm really measures is the "tendency to produce FST" under random drift, provided the rather unrealistic assumptions of Wright's island model are met.

Another problem: the island model assumptions may not be met
Another problem is that, in many real situations, the assumptions of the island model are usually not met. For example, some people have used Nm to measure "gene flow", for example between populations/subspecies of butterflies on real islands in the Caribbean. But here we must make the assumption that the islands are at equilibrium between drift and migration. This assumption is dubious because the islands may in fact be slowly diverging since colonization, and there may be no migration at all.  In other words drift and migration are not at equilibrium. (For a good review of this problem, see Michael C. Whitlock & David E. McCauley 1999 Indirect measures of gene flow and migration: . Heredity 82: 117-126).

Even worse, some people have assumed that one can measure "gene flow" between genetically rather divergent species or geographic races that do or do not hybridize. Here, it is likely that selection (or a complete absence of genetic contact) is keeping the two populations apart; so again, the assumption that the populations are at drift/migration equilibrium is simply wrong.



CONCLUSION
Wright's equation  is one of the most influential theories in the history of population genetics, and rightly so. But it must be used with care.


Back to POPULATION STRUCTURE
© Jim Mallet 1999