OLD! - For current see BIOSCIENCES COURSE SITE
BIOL2007 - EVOLUTION AT MORE THAN ONE GENE


SO FAR REAL evolution:

GENE INTERACTIONS

Pleiotropy

single gene affects multiple traits e.g. in S- beta-haemoglobin
Epistasis PLEIOTROPY AND EPISTASIS
e.g. polymorphic Batesian mimicry (palatable mimics) In general, selection

How do EPISTASIS AND PLEIOTROPY affect our view of evolution?

Gene interactions may have a strong effect on genotypic frequencies at multiple loci.

For example, if A/a controls a forewing colour pattern gene, and B/b controls a hindwing pattern gene, AB, ab combinations may be favoured at expense of Ab, aB. In the same way, inbreeding, selection, migration etc. cause a deviation from Hardy-Weinberg equilibrium at a single locus. So selection (also migration, drift) can cause deviation from multilocus equilibria.



HOW DO WE MEASURE DISEQUILIBRIUM?

Expected gametic frequencies if two genes are independently inherited can be obtained from allelic frequencies in population:

allele                  A             a
           allele       pA           1-pA
           freq.
  B         pB         pApB        (1-pA)pB
  b        1-pB       pA(1-pB)   (1-pA)(1-pB)           Sum of frequencies = 1
We can measure the non-randomness of the gametic frequencies by means of a deviation from two locus equilibrium: D is the gametic disequilibrium coefficent, or measure of deviation from 2 locus equilibrium, as follows:
Gametic     =          random             deviation
frequencies
  pAB        =          pApB                  + D
  pAb                pA(1-pB)               - D
  paB        =        (1-pA)pB                - D
  pab        =      (1-pA)(1-pB)              + D
Obviously, the sum pAB + pAb + paB + pab = 1
You will often find gametic disequilibrium referred to as linkage disequilibrium. This is somewhat confusing, because genes need not be linked to be in gametic disequilibrium (i.e. a significant value of D).

Note, that this deviation from two-locus equilibrium, D, is similar to the effect of inbreeding on genotype frequencies at a single locus. In fact, the heterozygote deficit interpretation of the inbreeding coefficient, F, has been called a "one-locus disequilibrium" coefficient.



GENOTYPIC FREQUENCIES IF THERE IS DISEQUILIBRIUM

The gametic frequencies determine the genotypic frequencies in the following way provided there is random mating:

The AB/Ab genotype has probability [pA(1-pB)-D][pApB+D], and there is one other way you can get this genotype, with the same probability. Thus, total probability of the AB/Ab (i.e. AABb) genotype assuming random mating is : 2[pA(1-pB)-D][pApB+D].

The AaBb "genotype" is quite interesting, because there are actually two types: AB/ab, or "coupling" double heterozygotes, and the Ab/aB or "repulsion" double heterozygote. If D is positive, you can see quite easily that there will be more coupling than repulsion heterozygotes. (D can also be negative, of course, in which case it is the repulsion double heterozygotes that are in excess). In fact, given random mating, you can easily prove that:

.
... the disequilibrium is equal to half the difference between the genotypic frequencies of the coupling and the repulsion double heterozygotes.

STANDARDIZATION (advanced topic, possibly of interest) A little playing around with your calculator (and your brain!) will convince you that the maximum value that D can attain is 0.25, but only if pA=pB=0.5. This is because, if D gets any higher, you would have to have negative gametic frequencies, an obvious impossibility! But modern molecular fingerprinting techniques like microsatellites often reveal huge amounts of variability, which means that each allele may have a very low frequency, say less than about 0.1; a little more playing with your calculator will show you that the maximum D must be even lower for situations where some allele frequencies are low. Thus, it has seemed sensible to standardize the value of D compared to a maximum of 1. This has been done in two ways:

D can be standardized to give values in the range (-1, +1) using either:

1) D* = D / Dmax to give a percent of possible disequilibrium [for example, if D is positive, Dmax= min {pA(1-pB), (1-pA)pB}. So this measure gives the proportion of maximum disequilibrium for those gene frequencies.

Alternatively,
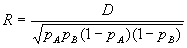
2) we can use the correlation coefficient, .



MORE THAN TWO LOCI

With even two loci, we have got into some mathematical deep waters, and we haven’t even done any modelling of two-locus evolution yet (we won’t in this course, you might be glad to hear!).

But actual evolution usually involves multiple loci. With three loci, A,B,C, there could be 3 possible pairwise gametic disequilibria between the loci. There is then also a third-order disequilibrium between all three, which represents the effect of the AxB pairwise disequilibrium on C, of AxC on B and so on. With more loci still, there are even more multi-order disequilibria.

The mathematical complexities are so great that nobody really knows how to analyse all this, yet. This is still an active growth area in evolutionary studies. It would be nice to show that third-order and higher order disequibria aren’t really important, and maybe this is true, but nobody is really sure about this because it is hard to think in multiple dimensions.

Provided gametic disequilibria aren’t too great, various assumptions can be made about multiple loci, and genotypic interactions can be ignored. We can then use a statistical approach to study evolution called quantitative genetics (see Kevin Fowler’s lectures, next). So all is not lost!

The remainder of the lecture concerns pairs of loci:



FACTORS THAT CAN DECREASE D

Recombination reduces disequilibrium

Whereas deviation from Hardy-Weinberg is lost in a single round of random mating, deviation from two locus equilibrium persists much longer. This is because recombination is maximally (for unlinked or very loosely linked genes) 50% of gametes. Disequilibrium can therefore decline by 50% at maximum. Disequilibrium actually declines by a factor c every generation, where c = recombination fraction.
Dt = Dt-1 (1 -c)
After many generations (t), Dt = D0(1 -c)t. Here is this function plotted:
As you would no doubt expect, if we plot this logarithmically, we get a straight line:


FACTORS THAT CAN INCREASE D

A: Drift - random sampling of gametic frequencies, approx. proportional to 1/2Ne

e.g. Closely linked markers in humans and Drosophila? Here the rate of loss of disequilibrium is so slow that random factors such as drift, even in very large populations have an effect.

B: Selection - epistatic selection (for gene combinations)

Mimetic butterflies:

Human Leucocyte Antigens (HLA): C: Migration - mixing of populations with different frequencies


USES

1) Studying migration or dispersal between populations with different gene frequencies, or between species. Because gene frequencies differ, there will be different frequencies of gene combinations in the two populations, so that mixing will produce disequilibrium. This disequilibrium will persist for some generations (see above).

2) Linkage mapping of Human loci when c = 0.01 or less

For example, disease locus D and marker loci m

In humans 1 million bp is approximately equal to c=0.01, or 1 map unit (centimorgan). Empirically, disequilibria show up between marker loci like microsatellites, and between marker loci and genetic disease loci at about this distance and less. This is presumably caused by preservation of drift-induced disequilibria due to the very low levels of recombination in a finite population size.

Linkage disequilibria can be very useful for fine-scale gene mapping , because it is almost impossible to get enough human pedigree and recombination data on a rare disease when the loci are less than about 5 map units (c=0.05) apart. The detection of linkage disequilibria (i.e. differences in marker loci between affected and unaffected individuals) can quickly narrow down the search for the "candidate loci". This approach has been used successfully in a variety of recent studies.

In Drosophila we find the same appearance of disequilibria in natural poulations.  At one locus, the Adh locus, the disequilibria seem to show up only on the order of about 100 base pairs apart. This suggests a much higher population size, so that recombination is more effective at homogenizing chromosomes.



Back to BIOL 2007 TIMETABLE